lunes, 2 de octubre de 2017

TEOREMA FUNDAMENTAL DE LA DIFERENCIACIÓN

Vamos a hablar de un teorema que nos va a servir más adelante en ejercicios termodinámicos entre otros.
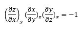
Dice así:

Veamos un ejemplo:


Vamos a ver unas reglas de las derivadas parciales que nos vendrán bien:




Si tenéis alguna duda, podéis dejármela en los comentarios.
Gracias.




No hay comentarios:

Publicar un comentario