a)¿El sistema S(u,v), es una base de V2?
Serían una base si sus vectores fuesen linealmente independientes, es decir, que ningun fuese escrito como combinación lineal del otro.
Aquí vemos que; 1/-2=-1/0----->1·0 no es igual a -2·-1, por tanto sí es una base.
Aquí vemos que; 1/-2=-1/0----->1·0 no es igual a -2·-1, por tanto sí es una base.
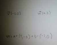
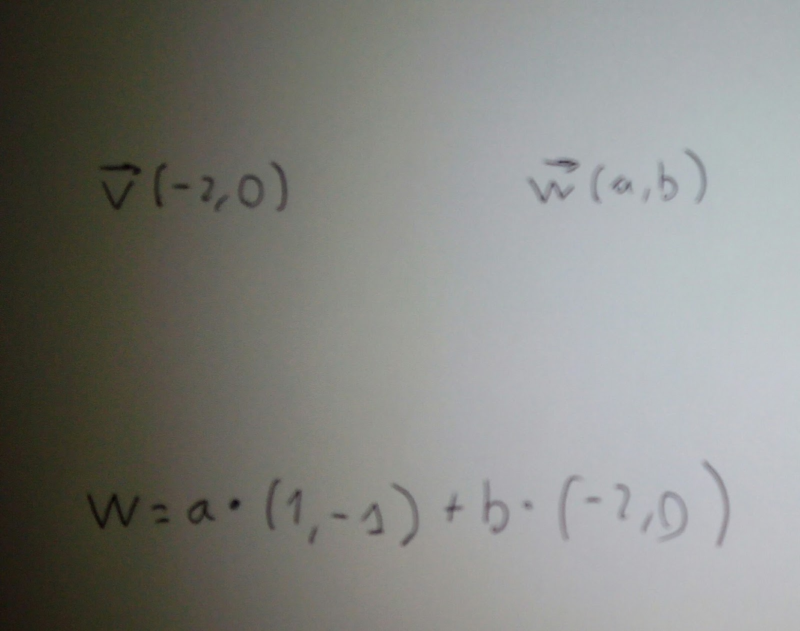
b)Expresa el vector w(a,b) a,b pertenecientes a R como combinación lineal de los vectores u y v.
Seguiré subiendo más ejercicios, pero ahora me veo envuelto en muchas tareas respecto a esta y otras asignaturas.Seguid atentos.
Gracias.


Muy muy buen trabajo y súper bien explicado.
ResponderEliminarSigue así! :)
Gracias lucía ;), la verdad es que este ejercicio lo he hecho más resumido dado que lo subiré perfectamente explicado junto con el resto de los ejercicios más adelante, aún así me alegro de que te guste y veas mi blog.
Eliminar